长辈版
无障碍
繁体中文
您的位置:
首页
> 宿州市埇桥区人民政府
>
社会救助领域
>
最低生活保障
>
审批信息
信息分类:
其他,民政、扶贫、救灾、优抚,个人
内容分类:
审批信息
发文日期:
2025-02-28 17:26:43
生成日期:
2025-02-28 17:26:43
生效时间:
废止时间:
发布机构:
宿州市埇桥区人民政府
文 号:
名 称:
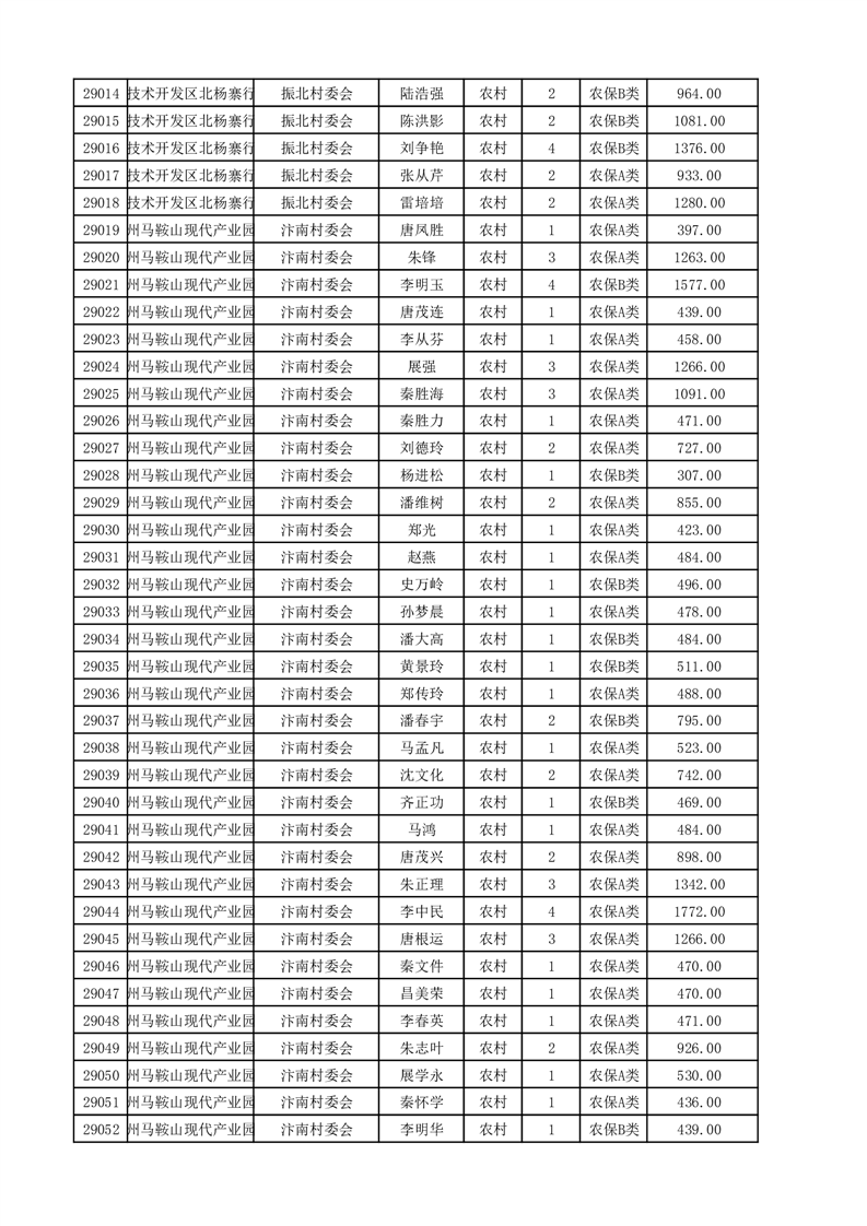
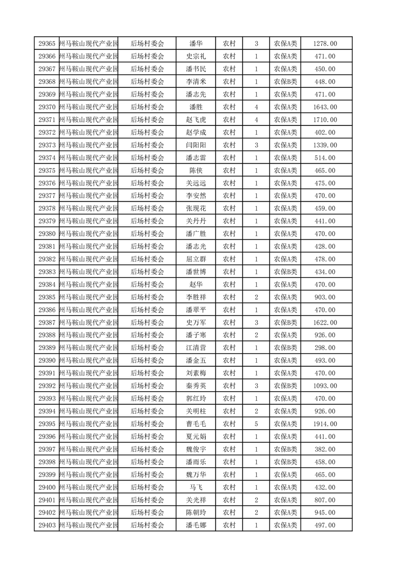
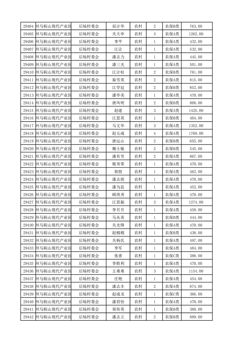
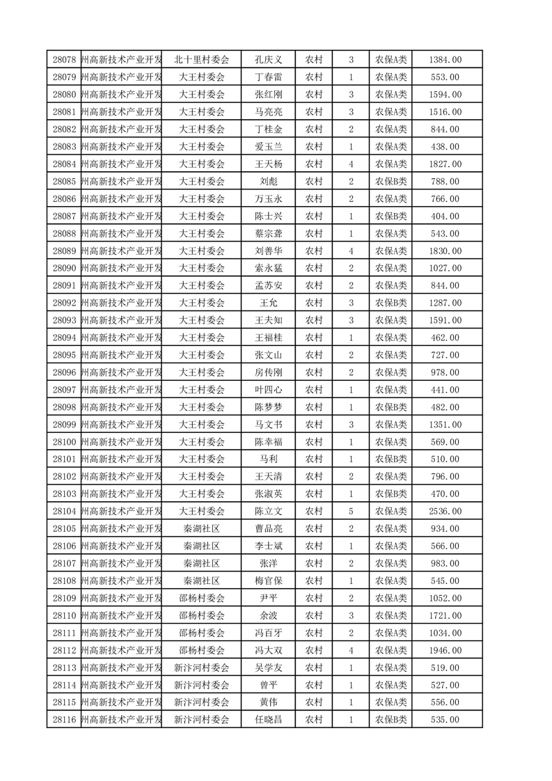
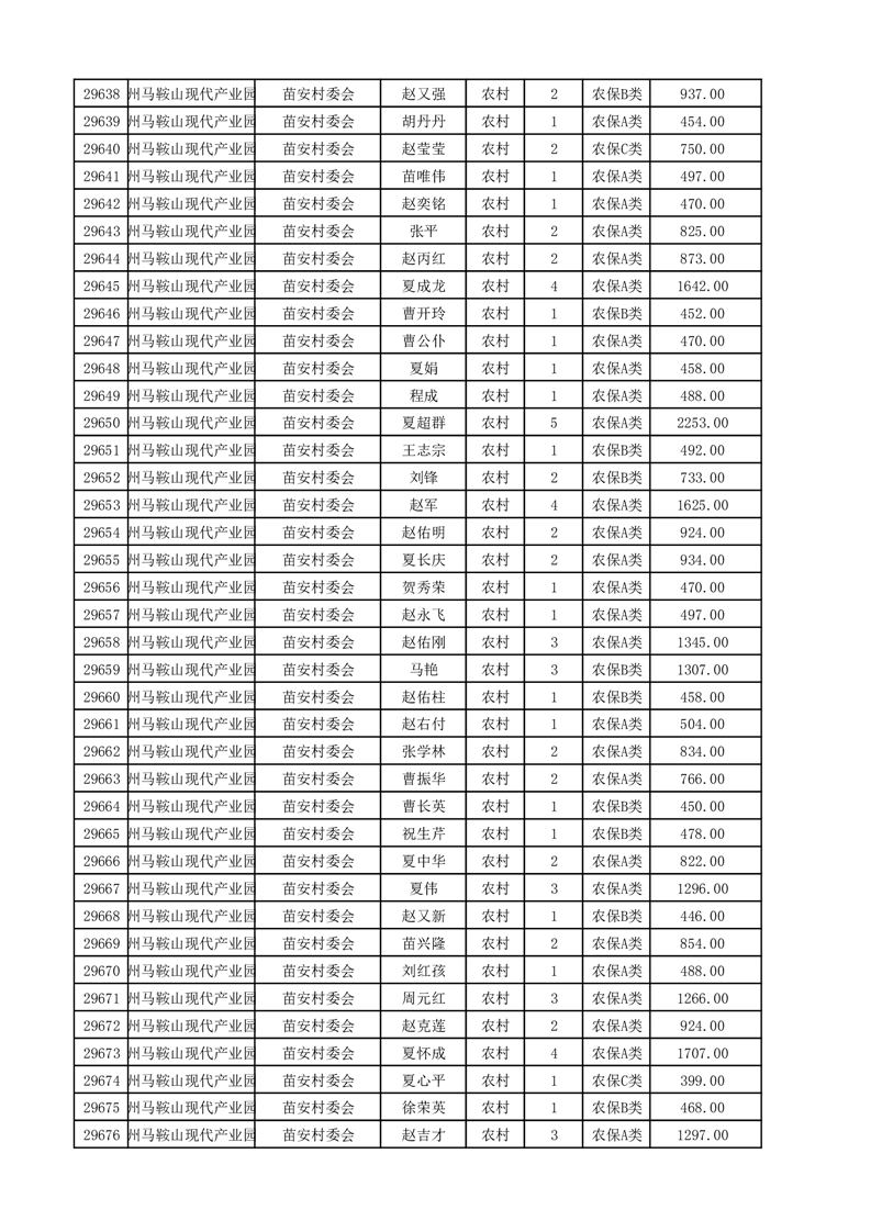
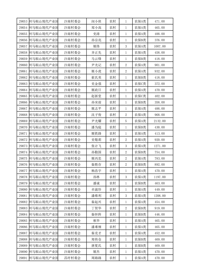
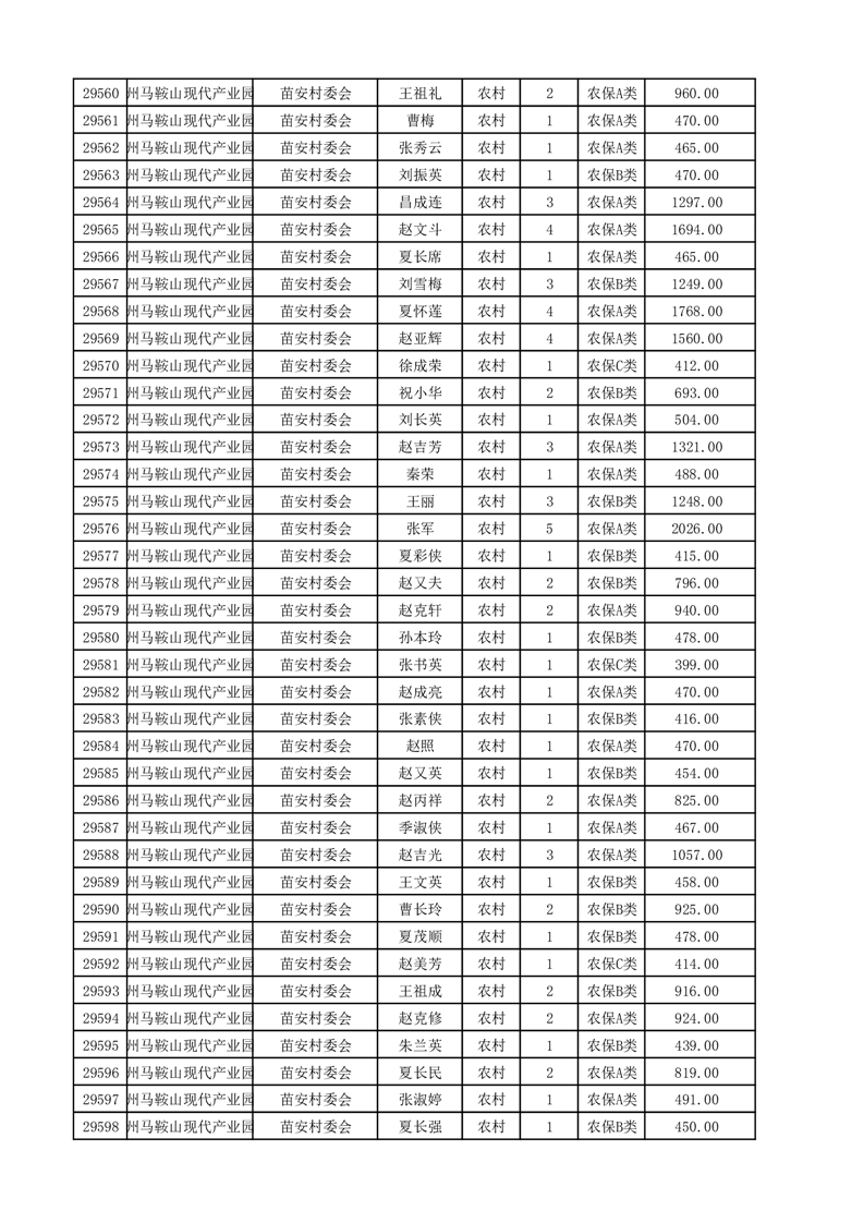
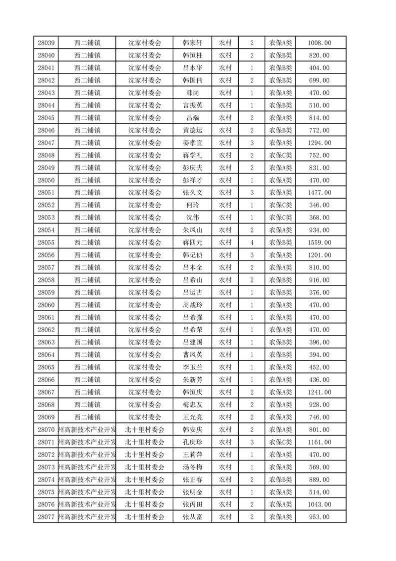
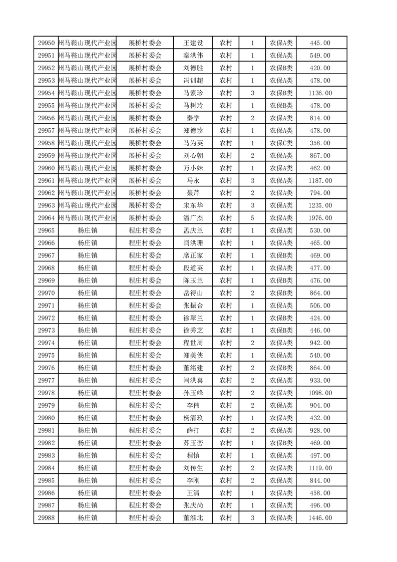
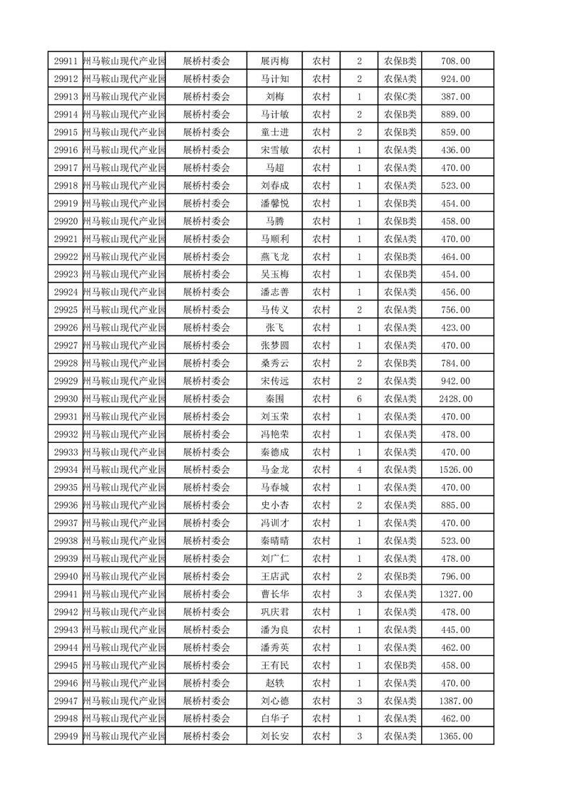
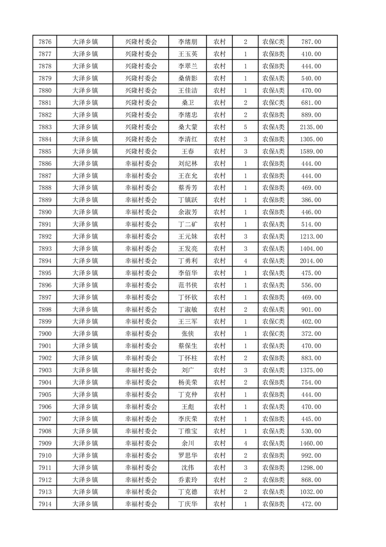
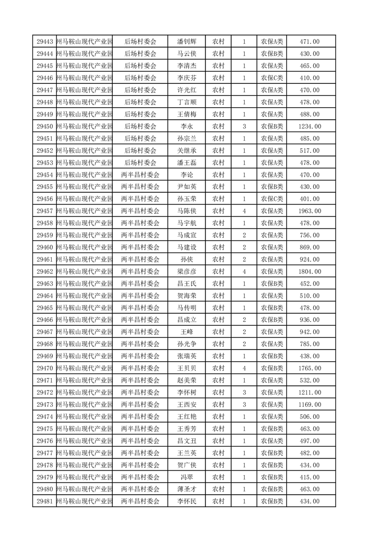
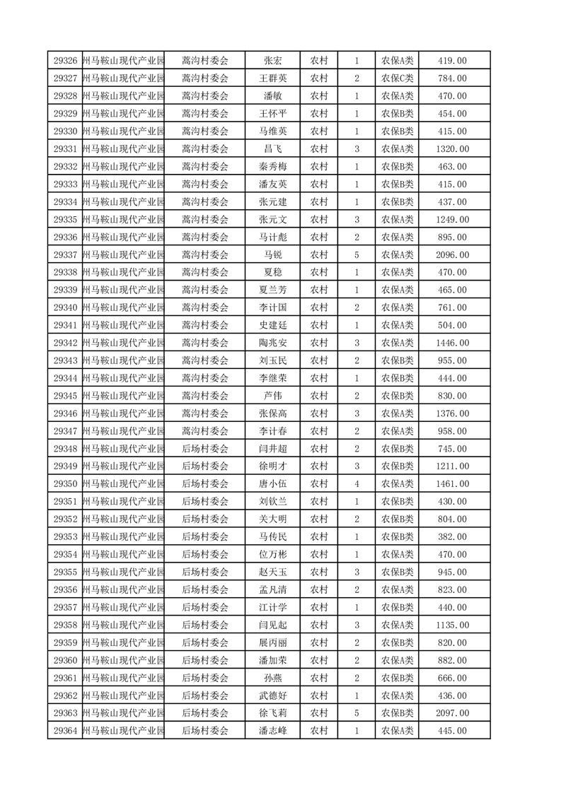
埇桥区2025年2月份农村低保花名册
关
键
词:
埇桥区2025年2月份农村低保花名册
文章来源: 宿州市埇桥区民政局
浏览量:
发表时间:2025-02-28 17:26
责任编辑: 埇桥民政局
字体大小:
【
大
中
小
】
map