长辈版
无障碍
繁体中文
您的位置:
首页
> 芦岭镇人民政府
>
社会救助领域
>
特困人员救助供养
信息分类:
其他,其它,个人,企业
内容分类:
特困人员救助供养
发文日期:
2025-03-08 16:03:58
生成日期:
2025-03-08 16:03:58
生效时间:
废止时间:
发布机构:
芦岭镇人民政府
文 号:
名 称:
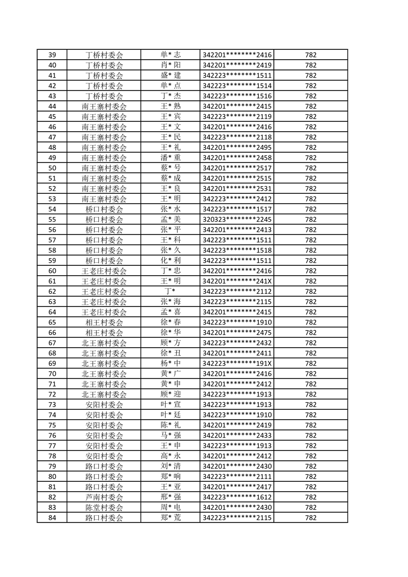
芦岭镇2025年2月特困人员救助供养家庭信息列表
关
键
词:
芦岭镇2025年2月特困人员救助供养家庭信息列表
文章来源: 芦岭镇人民政府
浏览量:
发表时间:2025-03-08 16:03
责任编辑: 芦岭镇人民政府
字体大小:
【
大
中
小
】
map