长辈版
无障碍
繁体中文
您的位置:
首页
> 东关街道办事处
>
社会救助领域
>
最低生活保障
信息分类:
内容分类:
最低生活保障
发文日期:
2025-04-07 15:28:45
生成日期:
2025-04-07 15:28:45
生效时间:
废止时间:
发布机构:
东关街道办事处
文 号:
名 称:
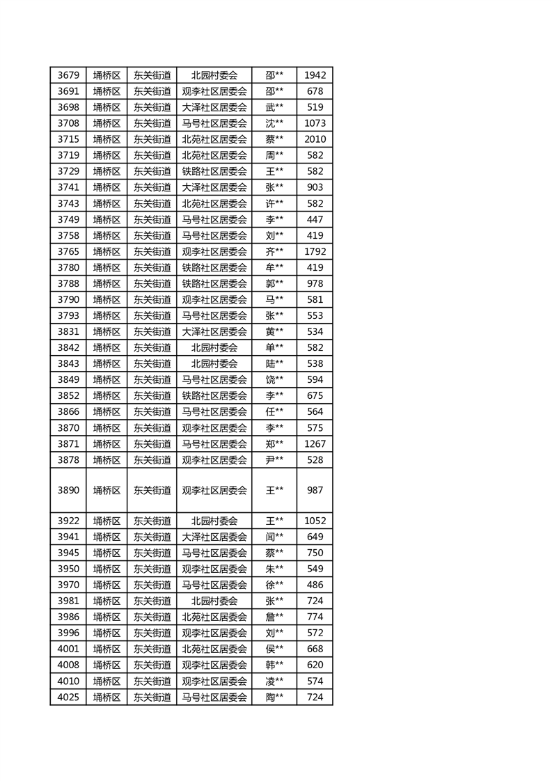
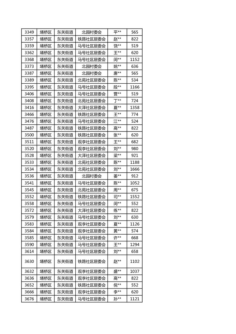
【城乡低保】东关街道2025年第一季度城乡低保发放花名册
关
键
词:
【城乡低保】东关街道2025年第一季度城乡低保发放花名册
文章来源: 东关街道办事处
浏览量:
发表时间:2025-04-07 15:28
责任编辑: 东关街道办事处
字体大小:
【
大
中
小
】
map