长辈版
无障碍
繁体中文
您的位置:
首页
> 蒿沟镇人民政府
>
巩固拓展脱贫攻坚成果同乡村振兴有效衔接领域
>
衔接资金项目
>
项目年度计划
信息分类:
内容分类:
项目年度计划
发文日期:
2025-07-03 13:22:51
生成日期:
2025-07-03 13:22:51
生效时间:
废止时间:
发布机构:
蒿沟镇人民政府
文 号:
名 称:
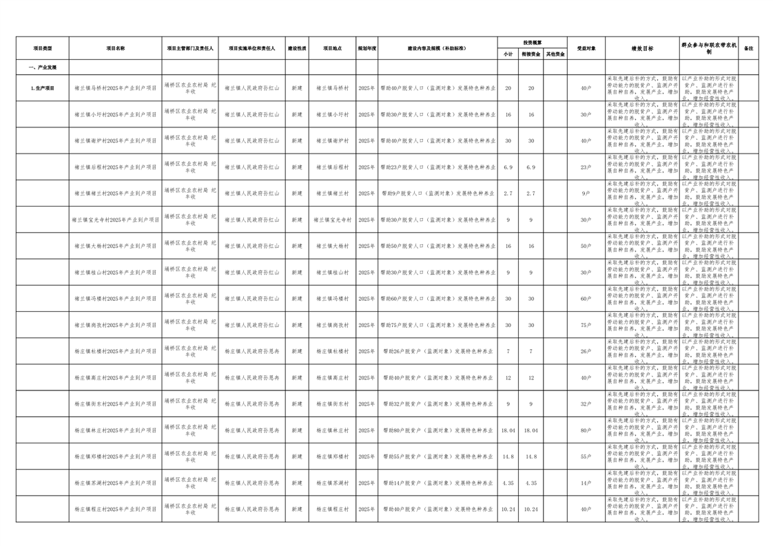
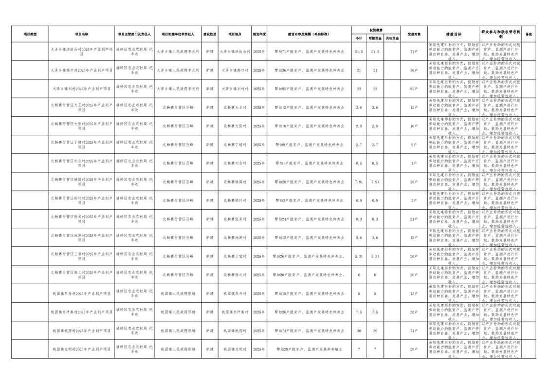
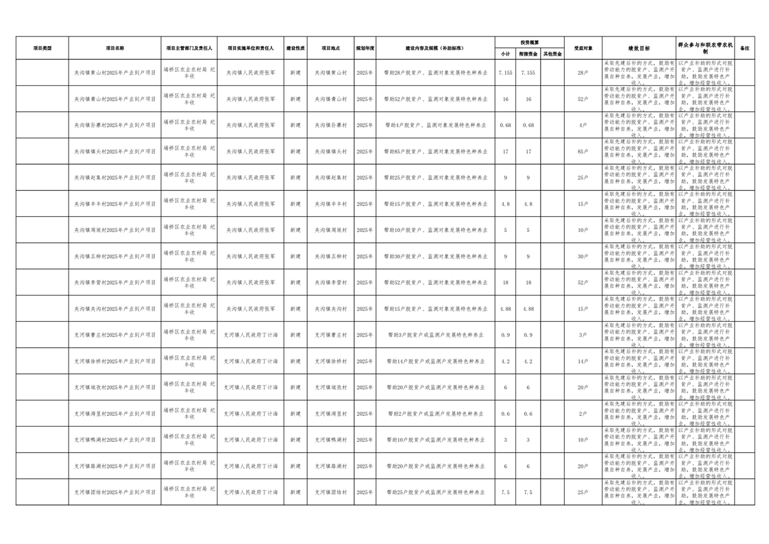
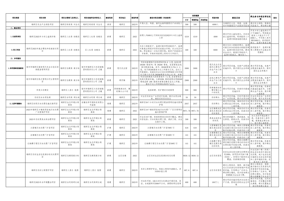
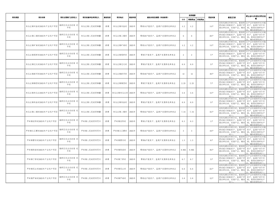
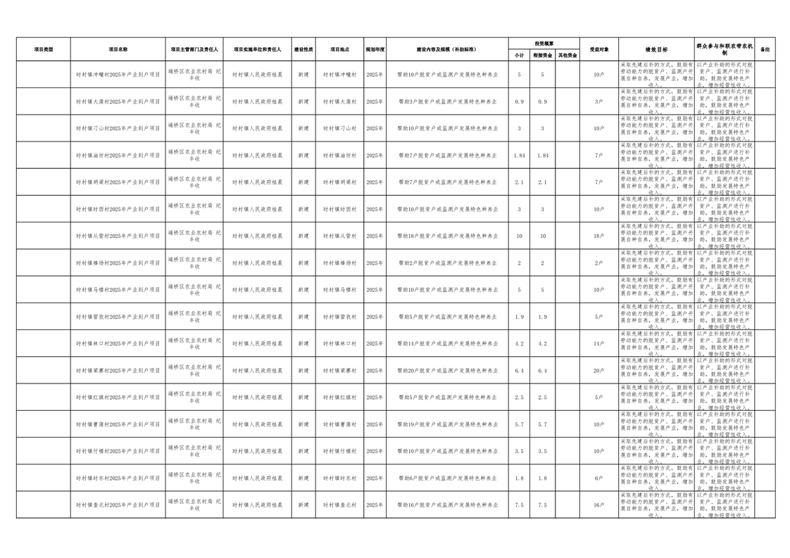
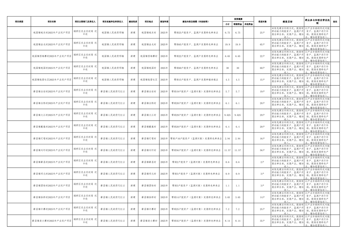
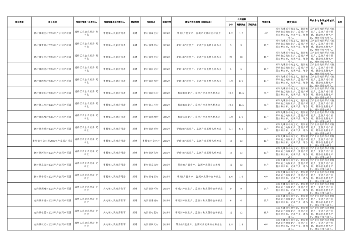
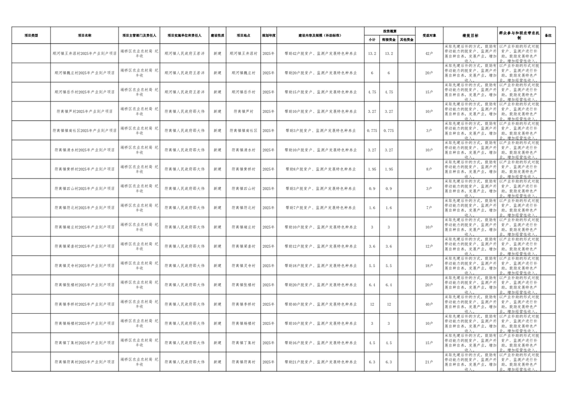
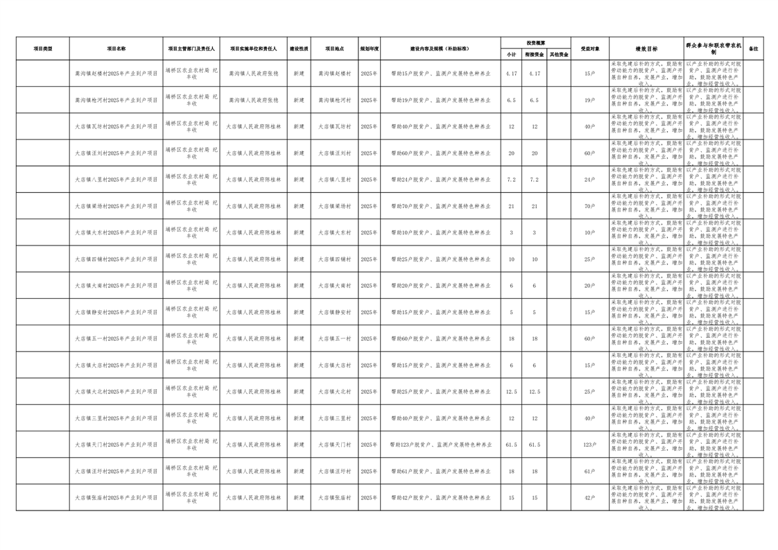
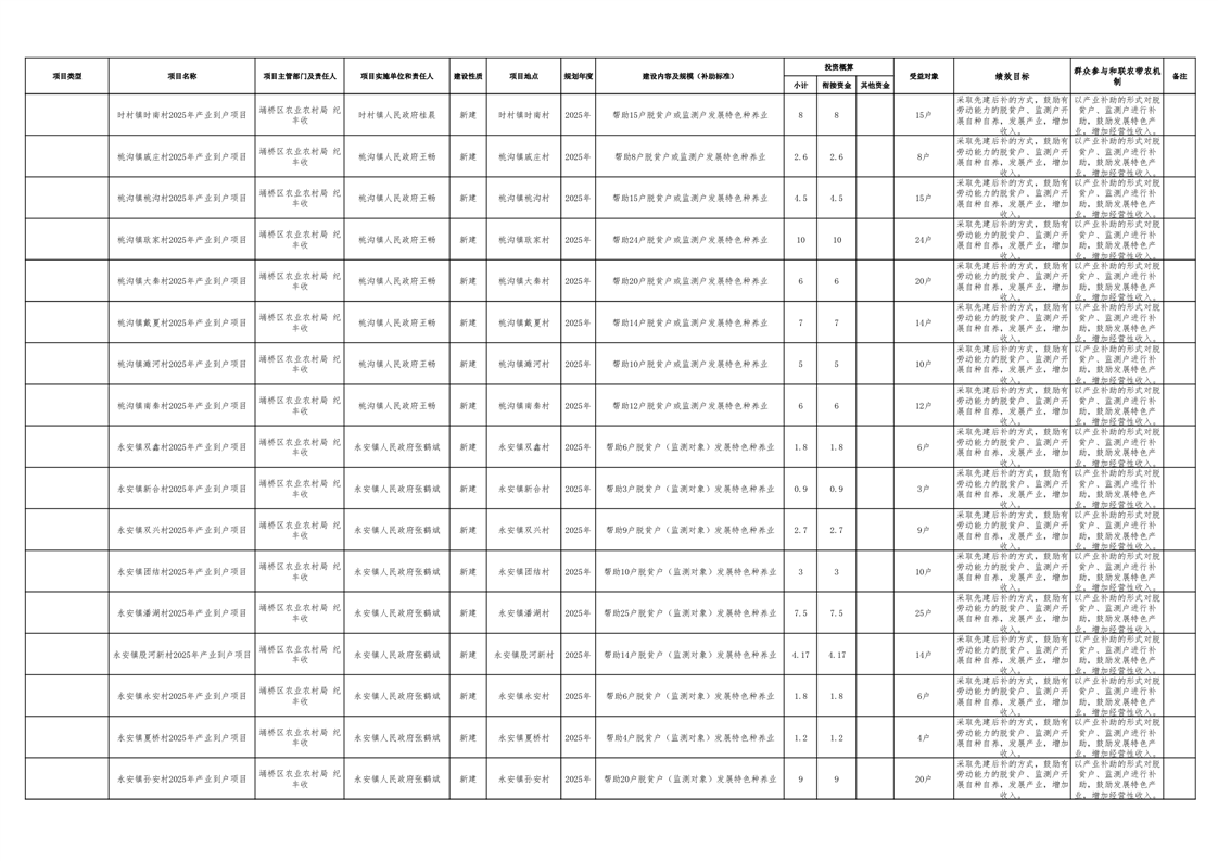
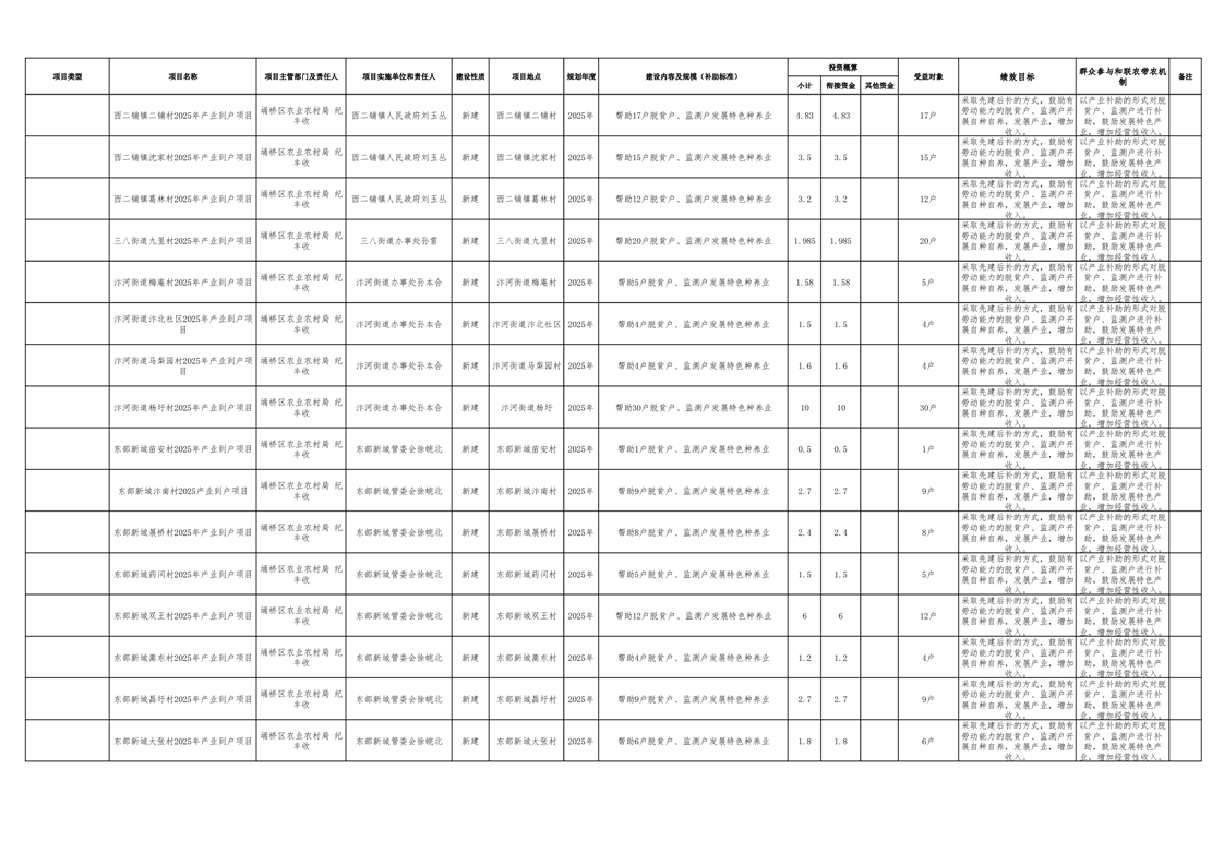
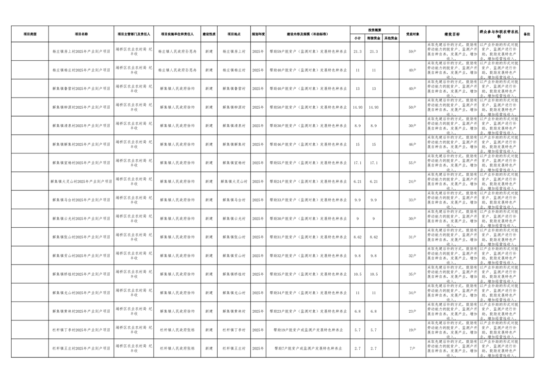
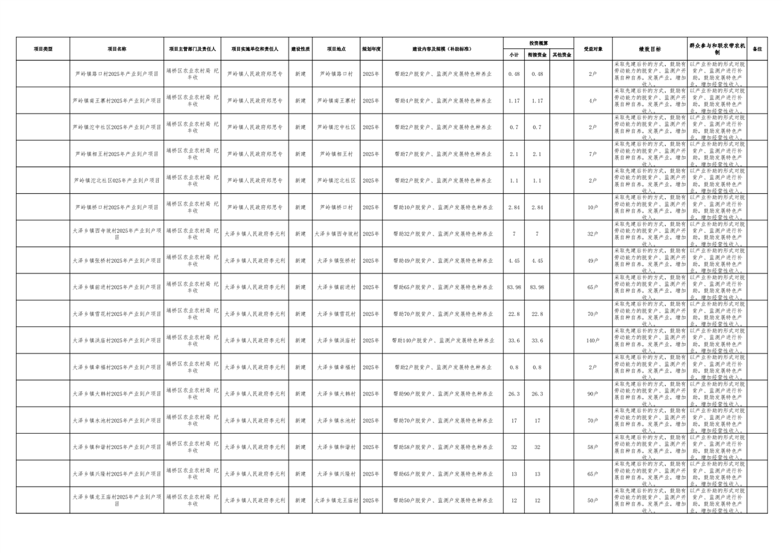
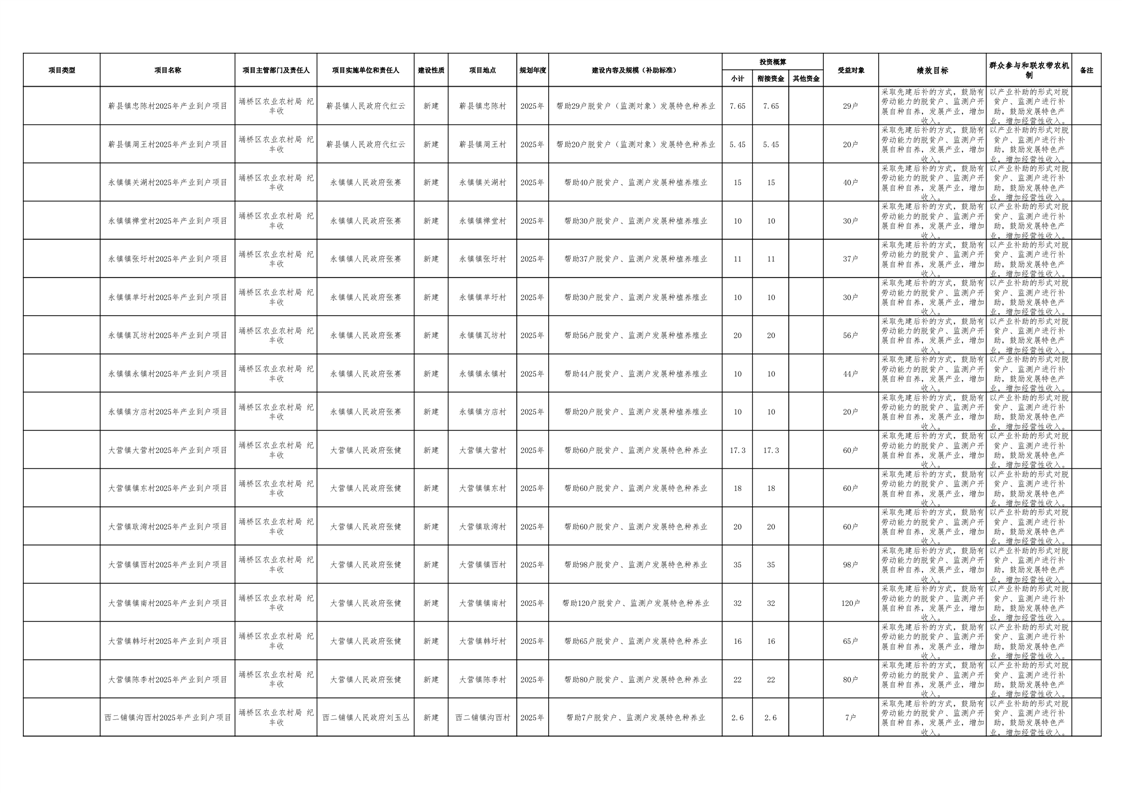
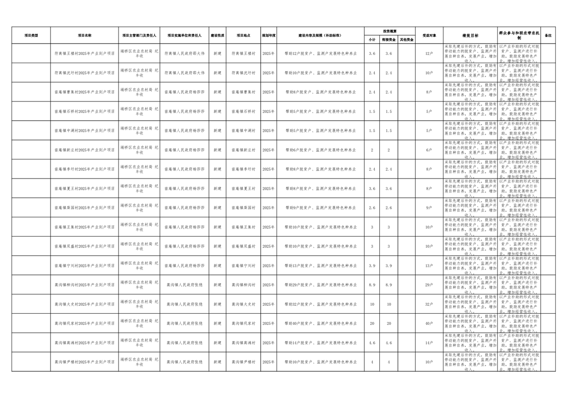
埇桥区蒿沟镇2025年巩固拓展脱贫攻坚成果和乡村振兴项目库申报明细表
关
键
词:
埇桥区蒿沟镇2025年巩固拓展脱贫攻坚成果和乡村振兴项目库申报明细表
文章来源: 蒿沟镇人民政府
浏览量:
发表时间:2025-07-03 13:22
责任编辑: 蒿沟镇人民政府
字体大小:
【
大
中
小
】
map